摘要:捕捉行情最快、量价挖掘最准、风险控制最稳,全面、安全、简单、智能自动搬砖套利,轻松量化,聪明交易。
朋友圈刷屏了IG刷屏,IG是什么币,暴涨了吗?代沟都这么明显了吗。上一个电竞英雄是人皇Sky,第一次让五星红旗飘扬在全球电子竞技的最高峰的电竞选手,是多少拥有电竞梦想的年轻人的偶像。 如果魔兽争霸界需要一位王者的话,那他一定是Sky。如果中国的电子竞技需要一面旗帜和一个飞跃式的里程碑的话,毫无疑问还是Sky,but 新的时代已经开始了。
套利分析
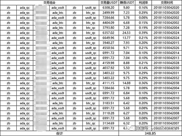
今日可套利组合数为1224组,可套利行情数496万条,市场间及交易对间价差产生的差价交易总量为326万个USDT(每个组合仅算一次,按最小值估算)。平均收益率为0.14%(已扣除手续费成本,加权平均收益率),通过价差套利总收益预计为1.29万个USDT。用户实盘数据(隐藏一个交易所,请见谅):

行情波动越大,套利机会更多,同一组合在行情波动期间均出现方向行情,意味着可以双向循环套利,实际套利收益率为加权平均收益率乘以反向行情出现次数。
加权平均扣除手续费后日收益率0.50%,过算法模型和大数据进行行情市场分析,监控火币、OK、ZB、GATE、Fcion、Binance、Exx等主流交易所,监控的货币对超过100个,监控的套利交易组合超过3000个,对全市场诸多交易对进行毫秒级监测,剔除如有价差无交易量无效市场和货币对及净收益(减去手续费成本)小于0等情况,确保每个交易组合每秒产生一条套利行情。欢迎同行交流、用户咨询。
市场有风险,投资需谨慎,本研究仅供参考不构成购买建议,您应该在决定投资前自行研究.
看了文章点赞的人都会赚钱哦,觉得有用请推荐给周边朋友。
声明:本文由入驻金色财经的作者撰写,观点仅代表作者本人,绝不代表金色财经赞同其观点或证实其描述。
提示:投资有风险,入市须谨慎。本资讯不作为投资理财建议。
金色财经 善欧巴
数字法币研究社
金色精选
Techub Info
Block unicorn
RWA研究院
金色精选
Foresight News
