推动市场的是流动性。—— 道格拉斯·亚当斯
金融有三个关键性基础:价值的跨时间转移、一份涉及未来权益的契约以及债权的可转让性。—— 威廉·戈兹曼和哥特·罗文霍斯特
如今,区块链的世界里,各种创新纷至沓来。新的项目机制在区块链创新者的脑海中涌现,之后由开发者实施和落地,最后总结成白皮书,并在社交媒体传播开来。过去这几年这一持续的趋势,在不少 DeFi 从业者或其他渴望参与区块链前沿发展的人看来,似乎不过是一场随机的运动。然而,如果我们试着回顾金融创新的历史,可能会发现——Twitter、Medium 上的巨大信息流,或者说区块链世界过去这段时间日新月异的变化,似乎并非我们想象的那么混乱。
既然其最终目标是创建一个新的金融体系,那么 Defi 金融也必将建立在一定的有利于金融发展的基本原则之上。正如内德·唐宁 (Ned Downing) 所阐述的那样,现有金融体系的繁荣是为了满足某些历史需求。它的发展模式并不是事先确定的,而是为应对社会运作、经济治理和企业融资的具体需要而发展起来的。
现在我们回到一开始提出的问题:究竟是什么样的需求在推动金融体系的发展?只要我们搞清楚这个问题,或多或少我们就能揭开去中心化金融的未来面貌。

流动性或流通性是金融创新中最重要的指标之一。这里的流动性并不严格局限于资产持有者在二级市场上清算资产的容易度和速度,更包括低流动性资产、准资产交易的可行性、多样性和普遍性,或者任何其它可能出现的融资活动。以共同基金的诞生为例,它最初是散户投资者获得较难直接投资的金融证券的一种手段(威廉·戈兹曼和哥特·罗文霍斯特,2005年)。同样地,通过认购一笔俄罗斯贷款,荷兰投资银行家可以在阿姆斯特丹发行贷款支持债券。这种金融行为不仅节省了投资者跨国旅行的成本和时间,还为俄罗斯债券创造了国际市场。另一个例子是罗斯柴尔德银行发行的第一张欧洲债券。罗斯柴尔德银行承保的普鲁士贷款首次向市场证明了政府资金不需要受到国界的限制。上述几个例子中,投资银行都试图将繁琐的、流动性差的金融合约变成小额度、易于在资本市场流转的流动性工具。而今天,这种方式被命名为“证券化”。通过证券化的过程,不可转让的金融债权可以重新包装成市场上的一些流动资产,初始认购的最终受益人甚至可能在千里之外。这大大增强了金融世界的流动性和包容性。

风险对冲是金融创新的另一重要推动力。尽管投资者和金融实体可以为其企业融资,在资本市场上收获百倍回报,但无人能忽视这诱人利润背后所隐藏的种种风险。下行损失的可能性限制了资本市场的发展。其实,自金融投资出现以来,风险一直是其密不可分的伙伴。而且几个世纪以来投资者也一直在想方设法降低风险。为避免公司蒙受巨额亏损,将有限责任公司纳入财务结构;为了避免商品价值的波动,引入远期合约对冲市场风险;为避免利率波动,创设利率互换对冲浮动利率等。
区块链技术与资产证券化(ABS)的结合有其天然的优势。
区块链从创始起便以分布式账本的形式存储交易数据,网络中的每个节点以哈希链的形式存储交易序列(账本)的当前副本。Merkle 树结构保证了数据的完整性和一致性。由于区块链上的数据由所有符合条件的节点维护,单个节点的崩溃不会影响整个系统的运行。此外,由于每个节点都有完整的账本副本,投资者无需构建中心化的数据库系统,提高了整体安全性的同时降低了成本。
区块链上的数据安全可靠。从创世块起,链上的每个字节都可以溯源。每一个区块中都包含了前一个区块的哈希指针,区块链按照哈希信息的时间顺序组织,这使得所有数据传输公开透明。单方面篡改数据的企图不会被其它节点许可,除非某个人控制了系统中超过 51% 的节点且实施算力攻击。
由于尽职调查和发行过程复杂,参与者过多,购买门槛高,ABS存在信息不对称、评级不准确、产品流动性差等问题(潘和邱,2020)。将区块链技术应用在ABS业务中,可以有效解决其中存在的问题。在发行 ABS 产品时,公钥和私钥被发送给所有参与者,他们可以通过加密签名确认。融资过程中的基本现金流和其它信息可以被所有投资者同时获得。每当底层资产的财务数据有更新时,链上的信息都会同时传达到每一位投资者。这种及时、统一的信息更新机制有利于每一位投资者的风险控制。此外,评级机构和监管机构可以用区块链技术更快速有效地监控 ABS。由于数据对所有参与者开放,评级机构可以实时观察资产池的变化。同时监控软件可以嵌入到平台的区块链中。一旦退款偏离预期现金流,可自动触发提醒,通知投资者采取相应措施。

智能合约也可以在 ABS 中发挥重要作用。当抵押资产的现金流被编码到合约中时,每个参与者都可以根据同步的数据来分析、估计和预测现金流。同时,智能合约可以收集最新的还款情况,并根据预先的设置管理流向不同层级投资者的现金流。数据的不变性保证了投资者获得本金和利息的及时性和一致性,降低了整个过程的时间和信息成本。
从去年七月至今的数据至来看,不断增加的流动性对加密经济的支持力度已经减弱。2020 年 7 月 1 日到现在,各种协议中的锁仓量增长了 25.86 倍,但整体市值的表现却并不那么惊人。同期,加密货币的总市值只增长了 4.36 倍。流动性的大规模释放并没有像预期的那样拉动加密货币的总市值增长。

图 1:总市值

图 2:TVL - 以美元计

图 3:TVL - 以ETH 计
原因之一可能是,很大一部分加密资产被锁定在流动性池中,TVL 无法释放等效的流动性。由于 DeFi 领域的匿名性,几乎所有的借贷协议都依托超额抵押作为其合约的基石。为了消除违约风险,抵押资产的价值都超过了贷款的价值。比如,Compound 的借款人通常需要为其贷款提供不低于 150% 价值的抵押品。因此,随着 TVL 飙升,流通速度反而减慢。基于费雪公式 MV=PT,当货币流通速度下降时,货币对加密经济增长的刺激作用降低。并且考虑到流通过程中的通货紧缩,借贷成本可能会增长至超过 DeFi 用户的承受能力。例如,2021年第一季度,Compound的借贷利率一度达到14%,高于美国上市公司平均 8.25% 的净资产收益率。

图 4:锁仓的 BTC / ETH占总量的权重 (%)
从负债的角度来看,未偿债务总额相比于去年增加了 16.6 倍。加密货币中相对便利的清算意味着可以以传统金融世界更加困难的方式对更复杂的证券进行定价、打包和重复利用(Chitra,2020年)。过度依赖借贷协议融资可能会加剧资产负债表恶化的风险,导致系统性风险增加。正如 MakerDAO(2018 年)的文章所述,如果市场上存在某个供应量为 1 亿美元的加密代币,且有很大一部分所有者使用该代币作为抵押,则借贷协议则面临巨大风险。也就是说,如果这个代币总量中的 4000 万美元都是抵押品,并且抵押品价值开始。

图 5:借贷率 (%)
迅速下降,那么,试图清算 40% 的货币供应(即使在流动市场中)将直接影响货币价格并导致其断崖式下跌。随着 TVL 倍数减少,我们将在 DeFi 系统中面临更加集中的风险。

图 6:TVL 倍数(TVL / 未偿债务,%)
为了解决这一问题,ABS 具有某些先天性的优势:
1. ABS可以在不增加基础货币的情况下释放存入的流动性,推动对加密经济发展的金融支持。
2. ABS可以逐步建立风险隔离和去中心化,减少风险金融体系的期限错配,实现资产负债表的主动管理。
3. 通过 ABS 产品设计中的主动信用评级、投资者的优先劣后分级、期限结构重组等,违约风险和流动性风险能够被释放,并让其在市场上重新定价。
参考美国固定收益市场的规模,DeFi ABS 的市值可能达到 16.4 亿美元。

图 7:美国固定收益市值
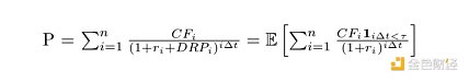
ABS 产品的本质是将具有可预测现金流的非流动资产证券化为市场上具有流动性和标准化的证券。为了对整体风险进行定价,ABS 产品的价格可以估计为

P是ABS产品的价格
ri 是第 i 期的折现率
DRPi为第 i 期违约风险溢价
∆t 是每次借款、还款之间的时间间隔
τ 是随机违约时间
考虑到DeFi目前的发展情况,我个人认为以下产品最有可能出现在市场。
去年七月至今,DeFi 借贷协议共产生了超过 3.83 亿美元的利息。为了消除清算风险,许多选择铸造代币或设立保险基金。然而,这两种方法都会导致协议代币通胀,或是分散团队精力,毕竟将协议更新到更佳的版本才是开发团队的核心目标。由于活跃用户、锁仓量和利率模型在链上都是公开透明的,应计利息便是可预测的,甚至可以由投机者或投资者定价。协议也可以使用 ABS 资金来缓解不同期限的清算压力。

图 8:借贷协议产生的利息(USD)算力 ABS
正如 Chitra (2020年) 指出的,考虑到硬件的前期成本,矿工在等待摊销机器、赚取利润时往往会遇到流动性问题。如果矿工的费用增加,比如电费成本增加,他们可能不得不借钱来支付电费。目前,矿工通过以赚取的代币来借款。理论上,他们可以使用挖矿硬件作为抵押来借到现金。然而,Anicca Research 的 Leo 在报告中称,采矿硬件二级市场的低流动性使得贷方不愿接受机器作为抵押品。取而代之,矿工直接用他们的代币借款,这也是 BlockFi 和 Nexo 等贷方提供的杠杆率爆炸式增长的主要原因。

图 9:借贷协议产生的利息(ETH)
由于矿工和GPU不会频繁升级,并且区块奖励是已知的,因此矿池的哈希率可以被视为具有可预测现金流的资产。比特币、以太坊、Filecoin 的矿权可以证券化,所有者可以出售或质押矿权以获得流动资金。挖矿的市场风险也可以定价。矿业是一个资本密集型行业,如果能在其中探索更多的融资机会,那么在我们眼前的将是一个巨大的市场。
Chitra, Tarun (2020),“PoS 和 DeFi 可以从抵押借贷证券中学到什么”。
链接:https://medium.com/gauntlet-networks/what-pos-and-defi-can-learn-from-mortgage-backed-securities-3d60dc18ee51 。
威廉·戈兹曼和哥特·罗文霍斯特 (2005),《价值起源:创造现代资本市场的金融创新》,美国牛津大学出版社。
MakerDAO (2018),链接: https://medium.com/@MakerDAO/makerdao-
makerdao-governance-risk-framework-fc8939f3d4e9.governance-risk-framework-fc8939f3d4e9https://medium.com/@MakerDAO/
潘文轩和邱美康(2020),“区块链在资产证券化(ABS)领域的应用研究”。
声明:本文由入驻金色财经的作者撰写,观点仅代表作者本人,绝不代表金色财经赞同其观点或证实其描述。
提示:投资有风险,入市须谨慎。本资讯不作为投资理财建议。
CEEX研究院
Foresight News
区块律动BlockBeats
Block unicorn
