2022年1月,NBER发表工作论文《Making Money》,论文指出:对于私人代理来说,很难在不被质疑的情况下创造出同等流通的货币。我们研究了两个私人发行货币的案例:内战前的美国私人钞票和现代稳定币。私人资金是在没有更好的选择时引入的,但它们最初会带来不便收益。随着时间推移,这些私人货币可能会变得更像钱,但它们并不总能获得正的便利收益。技术的进步和声誉的形成推动了私人钞票的正便利收益。我们证明了同样的推动力对稳定币也起作用。
中国人民大学金融科技研究所对报告核心内容进行了编译。
引言
稳定币的增长引发了一个问题,即私人代理如何才能赚钱。我们研究了两种类型的债务,因为它们的发行人试图让它们赚钱:内战前的私人钞票和现代数字稳定币。新的私人生产货币的诞生需要两个要素:缺少替代品,以及一个使钱能以面值被接受且没有问题(No-Questions-Asked,NQA)的设计。我们发现,技术进步和声誉形成推动私人生产的货币向正的便利收益率发展——首先是私人钞票,然后是稳定币。
不同形式的私人债务可以从非货币债务过渡到货币债务,但这种过渡既不是立即的,也不是平稳的。只有当代理人接受它无问题(NQA)时,债务才是货币:他们必须在没有保留或昂贵的尽职调查的情况下接受平价债务。NQA资金是经济的基石。没有它,交易效率低下,消耗资源和时间。NQA资金保护不知情的代理人免受逆向选择的影响,因为它对信息不敏感。但许多形式的债务,即使到期时间最短,信用评级最高,也不会毫无疑问地进行交易:钱是特别的。由于作为NQA的非特定好处,它有一个便利收益。
我们提出了一个模型,该模型关注一个变量,该变量旨在捕捉货币与NQA之间的距离,我们称之为d。d是一个连续的、非负的潜在变量,它总结了阻止债务成为NQA的摩擦。赚钱涉及d下降。对d的解释根据制度背景而变化。变量d总结了创造货币便利收益率的力量。当与NQA的距离为零,d=0时,债务交易NQA,且对信息不敏感。即使d>0,我们也表明货币仍然可以有正的便利收益率。但随着d变大,便利收益率翻转了符号,变成了不便收益率。我们的实证结果表明,稳定币正在沿着一条经过良好实践的道路走向NQA,但仍处于早期阶段。
在美国内战之前,银行以钞票的形式发行无息债券。在19世纪40年代中期,大约有1500种不同的钞票。存款人可以按票面价值兑换钞票,但只能在发行钞票的特定银行兑换。不同的钞票以不同的票面折扣交易。在内战前的自由银行时代,从1834年到1863年,一些州允许自由银行轻松进入银行业,但要求银行用国家债券支持其钞票,各州的要求各不相同。在其他州,银行发行由贷款组合支持的钞票。
到NQA的距离d几乎是对私人钞票发行人的物理距离的字面解释。在发行人所在城市流通的钞票被视为货币,没有问题提出(no-questions-asked)。来自遥远城市的钞票以更高的折扣进行交易,反映出有人提出了问题。但从遥远的银行赎回钞票在时间和金钱上都是昂贵的。随着时间的推移,d随着铁路和电报等技术的普及而减少。
稳定币是试图实现货币转型的最新形式的私人资金。最大的加密货币波动性太大,无法作为价值存储或交易媒介,而在加密交易所内持有美元会产生巨大的机会成本。稳定币的出现填补了这一空白。稳定币发行人通过一对一地将硬币与安全资产挂钩来解决波动性问题;钉住汇率通常是主权货币,如美元或欧元。然而,钉子并不总是固定的,稳定币偶尔也会折断钉子。钉住汇率制度的破裂可能会导致稳定币的彻底失败,稳定币是一种相当于银行挤兑的加密货币。
对于稳定币来说,d是一个潜在变量,反映了交易者在交易和将稳定币兑换为主权货币时的摩擦。稳定币持有者面临许多摩擦:在加密交易所和银行账户之间转移稳定币余额时,满足反洗钱和了解你的客户(Know-Your-Customer)法律需要时间;某些国家的公民无法从发行者手中赎回硬币;交易限制使得将少量稳定币兑换成美元不切实际。d随着摩擦力的减小而减小。我们表明,以更快的图形处理单元形式出现的技术变革减少了稳定币的d。
根据Gorton(1999)的程式化模型,我们对私人钞票和稳定币都估计了d。Black和Scholes(1973)认为,私人钞票和稳定币是一种无息永续年金,内含以面值向发行者赎回的看跌期权。Gorton(1999)将看跌期权的到期日定义为它到达开证行所花费的时间。他利用该模型剔除了钞票的隐含波动率,认为它们与国家层面的风险因素有关。在我们的应用中,我们根据价格暗示的钞票或稳定币的到期日推出了d。该模型还显示了d如何与货币的便利收益负相关。
d是内生的,发行者试图减少d。发行者将自己的声誉作为一种技术来减少d。代理更有可能信任信誉良好、有平价赎回历史的发行者,而仔细监控信誉较差的发行者。Gorton(1996)指出,新私人银行发行的票据在同一地点的交易价格低于老牌银行,这使得交易员有动力赎回这些票据,并暗中监控新银行的偿还能力。稳定币发行者可以通过披露支持稳定币的资产细节、获得金融科技银行执照或任命知名人士进入董事会来提高自己的声誉,并从内部降低声誉。随着时间的推移,无论是通过技术变革,还是通过发行者的努力,或者两者,d可以下降。从而便利收益上升,债务变成了钱,可能即使在d大于0的情况下也有一个正的便利收益。
尽管发行人尽了最大努力,d并没有沿着一条稳定的路径走向零。我们对钞票和稳定币的d估计都是反周期的。19世纪的衰退和金融危机在d时间序列中很明显。比特币价格的大幅下跌是加密货币中最接近衰退指标的指标,同样对应于稳定币d的大幅上涨。
我们有四个主要结果:首先,我们估计了钞票和稳定币的d,并研究了它们的动力学。我们证明了d可以随时间收缩,但不是均匀收缩。其次,我们测量了钞票和稳定币的便利收益率,或不便收益率,并表明d与便利收益率呈负相关。第三,我们证明了技术变革和声誉发展降低了d。第四,稳定币并没有将自己与其他稳定币区分开来。市场基本上将稳定币视为一枚硬币,这使得它们更容易受到挤兑的影响,因为所有稳定币在压力期间都会面临大量下跌。
估计到NQA的距离d
我们使用Gorton(1999)的模型作为一个简单的概念框架,将不同类型货币的价格与Holmström(2015)的“不问(NQA)”距离联系起来。私人钞票和稳定币是无息永久债券,内含发行方按面值要求赎回的看跌期权。我们提供了一个模型设置的简要草图,以激发主要结果,并用其估计d。
代理在空间上是分开的,每个代理由家庭、公司和银行组成。在一个时期内,代理人的国内市场到其交易地点的距离为d。每个家庭拥有一家公司,该公司在每个时期产生一个不可存储的随机禀赋。这些家庭在他们的禀赋流上发行债务和股权债权。这种债务无需支付利息,可以按面值兑换成消费品。因此,这种债务相当于一种带有嵌入美国看跌期权的永续年金。
这个家庭由一个到遥远市场购买商品的买家和一个呆在家里出售公司资产的卖家组成。家庭面临着只有钞票才能满足的预支现金限制:

其中Pt(d)是距离为d的家庭在t时刻发行的钞票价格,Dt+1(d)是家庭在t时期开始时从t-1时期结转的资产。在不同时期,每个家庭持有由其他家庭在不同地点发行的有不同面值的钞票组合。在遥远的地方,家家户户都用一叠钞票购买消费品。
家庭更喜欢在远离家乡的市场消费商品。家庭对来自遥远市场的商品的偏好可能是由内战前的劳动分工所推动的。家庭最大化预期效用:

家庭也可以选择寄送钞票赎回。假设银行有偿付能力,一张价格为Pt(d)的钞票需要d个周期才能兑现,其面值为消费品Pt+d(0)=1。该家庭的钞票投资组合的一阶条件决定了钞票的价格:

其中Et是期望算子,条件是在t时获得的信息。
一阶条件表明距离为d的钞票等于期限为d的风险纯贴现债务。家庭必须对拿着钞票和把它送去赎回的两种选择持中性态度。
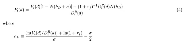
我们可以根据债务的价格和标准的期权定价方法推算出货币的到期日。DtR(d)是在t时从地点d送去赎回的债务的面值,并假设没有票据在运输中。考虑到钞票的价格,我们可以用Black and Scholes(1973)得出d:

σ为一加负债发行人价值变化率的标准差,rf为无风险利率,Vt(d)为发行人债务和股权要求的价值,N(•)为累积正态分布函数。
我们对该模型做了两个简单的添加来研究便利收益率。首先,钞票收益率与其价格成反比:Rtd=1/Pt(d)。其次,我们从随机折现因子推导出无风险利率,即使模型不是无风险安全的。无风险债券价格由1=Et[M_(t+1)*Rtf]固定,其中M_(t+1)是随机折现因子。便利收益率是无风险债券与债务收益率之差:

命题1
如果下式成立,便利收益率随着d增长而下降,即(∂(CY/∂d)< 0.

观察结果
首先,钞票并不一定要满足NQA才能获得正的便利收益。一个可信的政府可以产生NQA资金(d=0),从而获得可能的最大便利收益。即使政府是唯一能够生产真正的NQA资金的发行人,如果资金与NQA的距离足够近,私人发行人仍然可以生产获得正便利收益的资金。到NQA的距离与便利收益之间存在直接联系。
第二,当d=0,Pt(0)=1时,债务价格为1美元。当d=0时,债务可以立即赎回,因此,只要银行有偿付能力,代理人必须在持有1美元债务和以1美元赎回债务之间保持中立。当d=0时,无需问任何问题,所有代理都接受票面价值债务成为货币。
第三,债券价格Pt(d)与NQA的距离d、发行人债务和股权的波动率σ、发行人的杠杆率呈负相关。当到NQA的距离d增加时,债务价格下降。
Gorton(1999)利用该模型反演隐含波动率,并对其进行横截面分析,以显示其与州级风险因素的关系。在该分析中,到期日是根据历史旅行数据计算出的返回发证银行的时间。在我们对钞票和稳定币的分析中,我们使用了历史数据来计算波动率,并推出了d。到NQA的距离d受到方程4中所有变量的影响。
内战前的私人钞票
我们简要介绍了大约从1820年到1860年内战前私人钞票的使用、交易和演变的一些背景。我们验证了我们对d的估计策略,并表明到NQA的估计距离与物理距离密切相关。我们还展示了与NQA的距离d随着时间的推移而减少,以及由此带来的不便收益。
背景
私人钞票是由特定银行发行的实物货币,按票面金额按需兑换成硬币。私人钞票是银行为银行贷款而发行的负债。银行在19世纪之前就开始发行钞票,但发行钞票的特有银行数量在19世纪大幅增长。我们感兴趣的主要是1837年至1863年的自由银行时期,当时银行发行由国家债券支持的私人货币。这些债券并非没有风险,银行业恐慌也很常见。
自由银行时期的货币在经济上没有效率。而私人钞票在商业中起着至关重要的作用。公众口袋里装着各种银行的钞票,用于日常交易。商人和顾客都担心那些已经倒闭或濒临倒闭的银行发行的假币和钞票。很难区分好钞票和坏钞票——尤其是那些陌生的远方银行发行的钞票。商人更喜欢有明显磨损的钞票,这表明它在其他商人接受的地方流通得很好。商人只接受远方银行发行的票面折扣:离得越远的银行,折扣越大。在其他条件相同的情况下,高风险银行的钞票的折扣比安全银行的钞票更高。钞票折扣随着时间的推移而变化,在危机期间急剧上升,而且往往很小。
人们花费巨大的资源来避免使用柠檬钞票,然而银行倒闭和金融危机却屡见不鲜。即使经纪人的贴现市场是有效的,内战前的钞票在经济上也是无效的货币形式,因为它们与NQA有相当大的距离。1863年,在美国政府允许银行发行由美国国债支持的国家钞票后,国家银行时期开始,自由银行时期结束。
数据
我们使用三个私人钞票数据源:Weber(2021)的钞票报价、Weber(2018b)的银行资产负债表数据和Atack(2016)的铁路位置数据。我们将资产负债表数据与钞票贴现数据合并,首先检查各州银行在数据集上的精确匹配,然后对他们的名字进行模糊匹配,并手动检查匹配结果。然后,我们将数据按银行、数据集水平按月分解,在一个月内取平均。最终得到的数据集包括来自30个州的1750家个人银行的约23万份报价,80000份纽约/俄亥俄州报价和150000份费城报价。由于有几个银行同时出现在了两个数据集中,我们分别对每个数据集进行回归,以防止重复计算。
我们将费城铁路定义为那些经过费城中心五英里以内的铁路。然后将费城铁路网络定义为所有在5英里内通过的铁路段,这条铁路本身也在5英里内通过费城。多次重复这种逻辑,可以一年一年地追踪费城铁路网。我们还使用Weber(2021)利用OpenCage Geocoding找到的每个银行的位置。因为我们不知道确切的银行地址,所以我们使用OpenCage Geocoding API返回的位置,通常是城镇中心。
我们使用的是穆迪市政债券20年期综合收益率、穆迪公司AAA债券收益率和全球金融数据中的10年期国债收益率, Gorton(1989)收集的历史旅行时间,以及Trebesch等人(2021)的危机数据。
实证结果
我们分三步展示了我们的实证结果:首先,我们描述了我们如何估计到NQA的距离d,并描述了它的演变。d与运输技术变革的测量值正相关,并且隐含着信息,因为电报是沿着铁路线排列的。通过电报,代理人可以更快地接收有关银行的信息,而信息传播的增加将影响σ,从而影响d。第二,我们描述了我们的便利收益率指标及其随时间变化的动态。最后,我们使用工具变量来显示交通技术和钞票便利收益率之间的关系。
到No-Questions-Asked距离
在整个样本中,纽约报价的平均dt估计值为0.88年,费城报价的平均dt估计值为0.30年。dt估计值具有明显的下降趋势和单独的周期性成分。考虑到这四十年来巨大的技术进步,我们预计随着钞票向NQA靠近,dt估计值会下降。在时间趋势上回归dt估计值就抓住了这种直觉:每年纽约报价的dt估计值减少了21天,费城报价的dt估计值减少了4天,这两个趋势系数都具有统计学意义。我们也对结果的稳健性进行了验证。

图1 钞票到No-Questions-Asked的距离估计值
d在内战前时期有一个几乎是字面上的解释:钞票是一种高风险的债务,其到期时间等于从中央市场(通常是费城)将钞票转移到发行银行的时间。如果钞票定价有效,实际旅行时间和d估计值应该一致。我们在表1中报告了dit估计值与少数其他变量的相关性。前两列显示,我们估计的dt估计值与Gorton(1989)使用历史旅行指南编制的实际旅行距离和成本正相关。前两列中的相关性包括有旅游数据的城市中的银行,以及在费城有报价的年份中的银行,因为我们的旅游数据是相对于费城的。结果证实,我们估算dit估计值的方法将估算距离与NQA的真实距离dit对齐。此外,它还表明,dit估计值的下降与运输技术的进步有关。表中的其他列也与预期一样: dit估计值随着时间的推移和银行的老化而降低,不出所料在危机期间会更高。而且在自由银行州也较低,这可能令人惊讶,但与Gorton(1999)的讨论一致,即自由银行的风险是否比有传统章程的州高并不明显。

表1 钞票到NQA距离的相关性
便利收益率
我们用高质量公司债券和银行i钞票在t时刻的隐含收益率来衡量便利收益率:

我们使用钞票的折现率来计算钞票的隐含收益率。钞票收益率的表达式反映了票据经纪人将钞票带到发行银行并按面值兑换成硬币所能获得的收益。
我们在图2中绘制了价值加权的内战前便利收益率。在1817年至1826年的第一个十年数据中,便利收益率的基准平均值为-4.8%,有明显的上升趋势:在1817年至1858年间,便利收益率使用纽约报价每年增加约0.27%。如果我们剔除第一个动荡的十年,上升趋势依然存在:仅限于1830年及以后的数据,便利收益率每年增长约0.13%(纽约数据)和0.09%(费城数据)。而在银行危机期间,便利收益率降低4.2%,并经常变为负值。

图2 内战前钞票便利收益率
表2描述了内战前价值加权便利收益率的汇总统计数据。使用纽约报价和公司债券基准,全样本便利收益率为2.1%,使用市政债券基准,全样本便利收益率为1.0%。由于费城的报价数据始于19世纪30年代,纽约和费城的便利收益的比较是在1835年后:纽约4.2%,费城4.8%。我们认为,在这一时期,钞票作为货币使用变得更加方便,1835年后样本的便利率(4.2%)高于完整样本(2.1%),证明了这一点。

表2 内战前便利收益率
钞票必须缩短到NQA的距离,以方便使用。我们通过回归便利收益率与银行的物理距离dit来检验逻辑。表3给出了回归结果,其中我们将时间t时银行i的便利收益率与从费城到银行所在城市的旅行时间(以天为单位)进行回归。便利收益率与dit之间存在强烈的负相关关系:离银行越远,便利收益率越小。使用公司债券便利收益率(第1栏),从费城到银行的旅行每多花一天,便利收益率就会下降0.26%。使用市政债券便利收益率的估算结果与之类似,每多出一天,便利收益率就会下降0.21%(第5列)。剩下的几列显示,这两个变量之间的强负关系对于包括年份和银行固定效应是稳健的。根据表中结果也可以计算d*,即钞票从赚取便利收益转换为赚取不便收益时的距离。

表3 到NQA的距离d与内战前便利收益率
到NQA的距离d与便利收益率的关系
接下来,我们使用工具变量策略来显示d对便利收益率的影响。我们利用银行到东海岸铁路网的距离来证明d和便利收益率之间存在负关系,这与命题1一致。
我们的主要工具是银行到低成本线路的距离。在第一阶段回归中,我们使用到低成本线的距离来预测dit。我们使用三种测量物理距离的方法:到费城的时间、到费城的旅费和到费城铁路网的距离。在第二阶段回归中,我们在控制银行资产、杠杆和流通的情况下,对预测距离进行便利收益率回归。
结果如表4所示,图A为第二阶段结果。第1和第2列显示,前往费城的出行时间增加5天,或前往费城的出行时间增加34美元,便利收益下降了近1%。第三列显示,离费城铁路网较远的银行也有较低的便利收益。仪器化回归给出了与C组中OLS回归相似的系数。在第4列到第6列中,我们还显示了第二阶段的结果。Panel B的回归显示,距离低成本线30英里以内的行程时间减少了一天。这些结果对于改变边界是稳健的。在Panel A中,当使用指标变量时,较大的系数表明,对于额外的2天旅行或额外的16美元的费城旅行,便利收益下降了约1%。Panel B显示了第一阶段回归结果。

表4 工具变量回归:与NQA距离d和内战前便利收益
稳定币
稳定币是区块链上私人发行的数字代币。发行人声称要用储备一对一支持他们的稳定币,这是一种接近NQA状态的努力。我们首先提供稳定币的使用、交易和最近发展的背景。然后,我们转向数据和实证结果,以显示d的动态性以及随着时间的推移产生的不便收益率。
背景
稳定币是继比特币等法定加密货币之后的第二代加密货币。第一代的价格波动很大。稳定币的价格不应该像法定加密货币那样波动,因为它们据称是由储备一对一支持的。Gorton和Zhang(2021)认为,稳定币发行人本质上是银行,因为服务条款说,交易员通常可以以一美元赎回稳定币。换句话说,代理人存入一美元,然后得到一美元硬币,代理人可以兑换回美元。稳定币即使没有数千种,也有数百种,但前五种占市场份额的95%。
目前,稳定币最常见的用途涉及加密货币交易。投资者将法定货币转换为稳定币,并使用这些稳定币来买卖其他加密代币。代理可以使用稳定币来退出不稳定的加密货币头寸,而无需完全退出加密货币交易所并兑换成美元,这可能涉及实质性的交易成本。代理机构经常出借稳定币,从想要杠杆购买其他加密货币的借款人那里赚取利息。最大的稳定币不支付利息,理想情况下,它们的价格是固定的,所以稳定币的货币回报完全来自于向想要杠杆的借款人放贷。
不同稳定币的赎回便利程度不同。例如,稳定币不能在连锁店外购买食品杂货。不同的区块链是不可互操作的,所以它们很难从一个区块链移动到另一个区块链:不同的区块链不能相互交谈。因为稳定币合同像活期存款合同,我们可以利用上述模型计算与NQA的距离d。对于稳定币, d是指赎回稳定币所花费的时间和成本,相当于回到发卡银行所花费的时间。
数据
我们主要依赖两个数据来源:Coingecko的价格和加密货币交易所的贷款利率。我们收集了2014年9月至2021年7月期间Coingecko列为稳定币的65种货币的数据。对于每个稳定币,我们手动识别硬币的主权货币挂钩(如果存在的话),并使用来自彭博社的即期外汇汇率将硬币的价格转换为美元。与美元挂钩的稳定币主导了稳定币市场,但与美元挂钩的稳定币还包括澳元、瑞士法郎、人民币、欧元、英镑、港币、瑞典克朗和里拉。在经过一些切割后,我们有44个稳定币的样本。
表5给出了清理数据后稳定币的汇总统计数据。少数几种货币主导着总资产:截至2021年7月,五大稳定币占稳定币总市值的95%。2021年7月,只有四家的总销售额超过100亿美元。在这两项指标中,Tether(USDT)占据了主导地位,市值620亿美元,交易量1.1万亿美元。大多数稳定币的平均和中值价格接近1美元,但也有一些不是。没有一种稳定币在四舍五入到最近的便士后,会在1美元的价格上花费超过95%的时间。例如,Tether的定价在1.00美元的情况下有86.7%,低于1.00美元的情况有5.5%,高于1.00美元的情况有7.7%。

表5 稳定币汇总数据
我们收集三家大型交易所提供的货币的贷款利率。最全面的数据来自一个特定的交易所,我们称之为Exchange 1。该交易所促进了许多加密货币的交易,并允许在交易商之间收取费用直接借贷多种货币。交易者可以按一天到几个月的固定期限借贷。交易员可以以固定利率放贷,或者更常见的是,以交易所计算的市场平均利率的价差放贷。利息由第二种方式收取。借款人可以提前还款,但必须至少支付一个小时的利息。
尽管该交易所在其贷款市场上尚未出现亏损,但存在交易对手和钱包风险。该交易所对初始保证金进行扣减——通常设定为30%,但根据货币的不同而有所不同。当保证金低于15%时,交易所会平仓。该交易所表示,它将为一些由于交易对手风险造成的损失提供担保,但这种担保并不明确。此外,还有不小的钱包风险。许多交易所已经成为盗窃和攻击的对象,给客户造成了巨大的损失。
表6给出了加密货币借贷的汇总统计数据。贷款利率是一种货币在一天内的所有交易的价值加权利率,按融资总额加权。一些数据特征非常突出:首先,稳定币的贷款利率高于最大的加密货币的贷款利率;其次,该交易所允许借贷主权货币(美元、欧元、英镑、日元),这些货币在经济上相当于交易所的存款。从某种意义上说,这些货币就像不可交易的稳定币,借贷利率很高;第三,Exchange 1上的大多数贷款只存在五种资产:Tether、比特币、以太坊以及美元和欧元主权。
表6的最后一列显示了当包括其他两个交易所的数据时的平均贷款利率。我们有USDT、DAI、BUSD、USDC、BTC和ETH等其他交易所的利率。我们计算一种货币的贷款利率时,首先对该货币当天可用的所有汇率取平均值,然后对该时间序列取平均值,因为时间样本没有重叠。我们没有另外两家交易所的资金规模或长期资金数据。所有交易所的平均贷款利率都高度相关。

表6 加密货币借贷汇总统计
实证结果
到NQA的距离d
与私人货币不同,稳定币的交易价格往往高于盯住美元的汇率。这并不意味着当它们溢价交易时,它们更像货币:以1.01美元购买稳定币的代理在价格回归1美元时遭受0.99%的损失。
图4绘制了价值加权的dt估计值和三个大型稳定币的单独dit估计值: Tether、Binance USD和USD Coin。在dt估计值或dit估计值中没有明显的下降趋势,这表明稳定币在我们的时间范围内并没有积极地接近成为货币。如果有的话,最大的稳定币到NQA的平均距离增加了。Tether优于平均值是因为它是最长的时间序列之一,也是最大的硬币。但是dit估计值在所有最大的稳定币之间是高度相关的,这从硬币特定情节的紧密行为中可以明显看出。

图4 稳定币到NQA的距离估计值dt
我们在表7中显示了稳定币与NQA距离d与其他指标之间相关性,其中许多指标代表了稳定币的声誉。上面的面板集中在三个最大的稳定币,按一个月的滞后市值排名,底部的面板使用完整的稳定币样本。我们认为,前四个指标代表的是发行者有一定控制权的声誉。我们认为比特币的衡量标准是更广泛的加密货币世界的声誉代理,这是稳定的比特币发行者无法影响的。全部稳定币样本是相似的,但是有关键的一点不同: dit估计值与时间趋势或硬币年龄之间的相关性表明,时间序列较长的货币与NQA之间的距离更大,这表明总体而言,稳定币尚未成功地随着时间推移降低dit。

表 7 稳定币与NQA距离d的相关性数据
声誉发展
稳定币面临着如何建立强大、独立的声誉的挑战。表7显示,稳定币的声誉与稳定币到NQA的距离显著相关,发行者通过披露其基础资产来提高声誉。因为声誉需要时间来发展,到目前为止,稳定币发行人减少损失的努力遵循了一个混乱和非线性的路径。如通过名字、发布其基础资产或储备的信息、向监管机构寻求合法性认可等。
我们预计少数显著事件会对d产生不成比例的影响。我们关注两种类型的事件:影响特定稳定币的事件和影响所有稳定币的事件。影响特定稳定币的事件包括纽约律师对Tether的调查,以及发布自我报告证明和透明度报告。影响所有稳定币的事件包括新的稳定币的宣布,新的稳定币开始交易的日期,以及比特币价格崩溃。事件设置帮助我们回答了两个问题:第一,d是否以我们预期的方式变化,第二,事件是否对所有稳定币产生类似的影响,或者存在赢家和输家?
对于第一个事件类型,我们估计双重差分回归:

表8显示了NYAG情况下的差分回归的结果: I(Post)×I(Treated)系数与零无关,这意味着Tether的dit估计值相对于所有其他稳定币的dit估计值没有增加。相反,I(Post)很大,与零显著不同,表明所有稳定币到NQA的距离在NYAG宣布后的三天内都增加了。
我们还研究了认证和透明度报告发布日期前后的动态。许多稳定币发行者发布了有关其储备的信息,尽管各公司的报告存在许多差异。我们在储备透明度报告的第2栏中报告结果。这一披露减少了dit——正如我们所预期的,如果市场将其视为好消息的话——但影响主要体现在I(Post)系数上,这意味着所有稳定币的dit都下跌了,而不仅仅是发布报告的稳定币。同样,I(Post)×I(Treated)与0没有区别,所以对于一个稳定币发行者来说,可能很难在其他稳定币之外建立起一个独立的声誉。
影响所有稳定币事件包括新的稳定币的宣布(USDC、BUSD、TerraUSD、TrueUSD、PaxDollar和HUSD),稳定币在Coingecko数据中的首个交易日,以及比特币价格的大幅下跌。我们预计这些事件将影响所有稳定币,而不是特定的稳定币。因此,我们不能测试双重差分回归,而是估计一个更简单的事件研究:

在表8的第3列和第4列中,我们测试了新的稳定币的宣布或新的稳定币的开始交易是否会影响其他稳定币到NQA的距离。有两种可能的解释:新的稳定币的引入可能标志着稳定币的广泛接受和日益增长的货币特征,在这种情况下γ1<0;或者,这可能是稳定币之间竞争加剧的信号——那么γ1>0。我们发现后者的证据不足;当一枚新硬币宣布时,对其他稳定币的dit估计值没有显著影响,但当一枚新硬币开始交易时,dit估计值会增加少量但不显著的数量(0.08)。
我们在第5栏测试了大型比特币崩溃。我们研究了2016年以来5次最大的比特币单日价格暴跌,发现所有稳定币在暴跌后的几天内dit估计值都会立即上涨。这进一步证明了比特币之间的强烈相关性——无论是作为更广泛的加密货币世界声誉的代表,还是作为市场情绪的衡量标准。
观察表格第一行的I(Post)系数,在比特币崩溃(0.81)和NYAG诉讼(0.66)后,dit估计值的增加最多,其他事件的影响则小得多。虽然像NYAG诉讼这样的监管事件是一级重要的,但比特币的表现一直是与NQA距离的驱动因素。

表8 稳定币到NQA距离的事件研究
便利收益率
离“NQA”越远的货币,作为货币持有和使用就越不方便,因此我们预计,与NQA距离越远的稳定币,便利收益越低——就像私人钞票一样。我们给出了两个与便利收益率相关的结果:第一,在我们的样本中,稳定币的便利收益率为负,表明它们作为货币不方便使用和持有。第二,我们发现稳定币到NQA的距离与其便利收益之间存在一个稳健的负相关关系:距离NQA越远,不便收益越大。在交易所和稳定币(USDT、DAI、USDC、BUSD)和加密货币(BTC、ETH、LTC)的不同组合中,不便收益非常一致。
稳定币i在t时的便利收益率:

我们使用加密货币贷款利率作为基准收益率来衡量稳定币的便利收益率。稳定币的贷款利率在所有交易所和我们有数据的所有稳定币都很高;它不是任何单一稳定币独有的特征。同期美元(12.7%)和DAI(17.0%)的平均贷款利率高于比特币(4.6%)和以太坊(5.5%)。
USDT是我们衡量稳定币便利收益的主要指标。表9显示了我们的平均便利产量估计。当基准收益率为比特币的贷款利率时,各个交易所和稳定币的便利收益率非常一致:它总是负的,范围在-8.0%到-15.5%之间。从所有交易所的平均值来看,Tether约为-10.2%,DAI约为-14.6%。我们只有来自USDC和BUSD的单一交易所的数据,但它们的平均便利收益率相似:-15.1%和-13.4%。
将基准比较收益率从比特币贷款利率调整为芝加哥商品交易所的比特币期货隐含回购利率或一个月隔夜指数掉期利率,都不会改变稳定币便利收益率的符号。在几乎所有的情况下,使用替代方法会使便利收益率更负——这可能反映了一个事实,即稳定币的贷款利率包含了隐含回购利率或OIS利率中不存在的交易对手风险溢价。
我们的稳定币便利收益措施的一个担忧是交易对手风险。贷款利率中可能存在交易对手风险溢价。事实上,当使用隐含回购利率和OIS而不是比特币贷款利率时,我们的便利收益率估计会更低,因为我们预计比特币贷款利率的对手方风险溢价要小得多。出于这个原因,我们更喜欢用比特币和Tether的贷款利率之间的利差来衡量稳定币的便利收益,因为每个交易对手风险都有希望抵消。这一指标拥有最长的数据历史,也是最保守的指标,因为类似货币的稳定币的贷款利率应该低于比特币利率。
我们衡量便利收益的第二个关注点是,我们主要捕捉的是杠杆需求,而不是货币便利。人们不愿意仅仅因为方便而持有更多的稳定币,而是因为其异常高的贷款利率而被迫持有稳定币。如果稳定币与NQA的距离为零,意味着你可以使用稳定币购买汽油和食品杂货,更多的人会出于方便而持有稳定币。然后,可用于向希望在加密市场获得杠杆的交易员提供贷款的稳定币的供应将会增加,从而压低贷款利率。
到NQA的距离d与便利收益率的关系
我们预计,距离NQA较远的稳定币的便利收益率较小,可能为负,如提案1所示。在表10中,我们回归了dit估计值的便利收益率。第一列是所有四个稳定币的面板回归,包含贷款数据。这证实了我们的预测:当dit估计值较高时,便利收益率较低。第2列到第5列执行相同的回归,但按稳定币逐个执行。该表使用了Driscoll和Kraay(1998)的标准误差,最大为5个滞后,只要有长时间序列可用,这些标准误差对横截面和时间序列相关性的一般形式具有鲁棒性。
接下来,我们研究了在对稳定币到NQA的距离进行合理的外部冲击后,dit对便利收益率的影响。dit是内生决定的,发行人可以通过故意的行动降低它。一种应该持续降低dit的冲击是新英伟达处理器的推出。英伟达设计图形处理单元(GPU),其主要业务是制造用于玩视频游戏的GPU。区块链矿商也使用这些GPU来编程和挖掘以太坊。更强大的GPU允许人们更快地挖掘数据块,从而提高事务处理时间(用于证明工作一致性协议,与我们研究的稳定币相关)。
在表11中,我们回归了dit的便利收益,将样本限制在新GPU启动后。回归引入了几个控制因素:比特币基础、稳定币的平均借贷期限(天)、美国国债便利收益率(OIS - Tbill)的代理,以及交易量。该表还改变了因变量,以显示使用跨交易所的平均便利收益的结果是稳健的,仅使用Exchange 1(拥有最丰富的数据和最长的时间序列),并用隐含回购利率或隔夜指数掉期利率代替非货币比较收益率(我们主要衡量比特币的贷款利率)时的便利收益。

表11 Nvidia处理器发布后,与NQA的距离d和稳定币便利收益
综合来看,我们发现稳定币的便利收益在几个稳定币和交易所中始终是负的。同样,我们发现存在一个稳定的比特币不便收益。稳定币的便利收益与硬币到NQA的距离呈负相关。随着稳定币发行者让他们的硬币变得更像货币,我们预计他们会发展出一种便利的收益率,就像近200年前的私人钞票一样。
私人钞票和稳定币的联动性
在银行挤兑期间,银行储户争相提取存款。由于价格固定在1美元,减少的数量是唯一的调整幅度。我们研究了稳定币和私人钞票数量变化的相关性,以表明稳定币像私人钞票一样是可运行的。
我们展示了两个结果:第一,最大发行者的交易量增长是紧密相关的。我们计算了私人钞票的平均相关性,方法是将流通总量与州水平相结合,然后比较30个州的流通增长率。对于稳定币,我们比较了每个稳定币的每日交易量变化。全部稳定币的平均相关性为14%,最大的三个稳定币Tether、USDC和Binance USD的相关性为47%。加在一起,私人资金的最大发行者同时面临着数量下降的问题。
稳定币的销量变化之间的相关性并不令人惊讶。与表8中的事件研究一致,相关结果表明,稳定币很难建立个人声誉,市场参与者似乎将稳定币视为一个群体。不同稳定币之间声誉的差异对于发行人减少特定稳定币与NQA之间距离的努力来说是一个挑战。
第二,我们表明,危机期间相关性增加,表明私人钞票和稳定币的质量是可运行的。相关性表明,最大稳定币的容量相关,且容量变化在面对压力时相关性更大。虽然数据的频率和周期不同,但结果表明稳定币比历史上的私人钞票更具有可操作性。
结论
在19世纪,私人债务通常作为金钱来流通。Schuler(1992)在许多国家发现了大约60个这样的例子。但是这些货币被政府发行的货币所取代。稳定币是私人发行的债务试图变成货币的最新例子。我们研究了美国内战前的私人钞票,以了解稳定币可能如何演变。
我们通过计算私人货币与NQA的距离d来总结其状态,该状态显示这是驱动货币便利收益的因素。技术变化和声誉发展减少了d。内战前,美国钞票最终获得了正的便利收益率,尽管在远离发行银行的地方,它们总是以折让的价格交易。目前,稳定币的收益并不理想。但是,就像钞票一样,技术变革减少了不便收益。稳定币并没有建立起个人的声誉,也没有人会毫无疑问地将其作为货币来接受。因此,稳定币还没有获得正的便利收益。
私人形式的资金能否将他们与NQA的距离缩小到零,这是一个有待解决的问题。无论是隐性的还是显性的,我们没有发现任何在没有政府支持的情况下,在NQA,d=0的情况下,大量流通的私人资金的例子。一个可靠的政府可以创造NQA债务,而这种债务可以采取多种形式:实物货币、央行储备或有保险的银行存款。就像之前的私人钞票一样,稳定币可能需要政府担保才能成为NQA。如果让稳定币自己去做,他们可能仍然能够成功地缩短与NQA的距离。然而,从历史上看,NQA提供的资金是一种公共产品,只有政府才能提供。
声明:本文由入驻金色财经的作者撰写,观点仅代表作者本人,绝不代表金色财经赞同其观点或证实其描述。
提示:投资有风险,入市须谨慎。本资讯不作为投资理财建议。
金色财经 善欧巴
Block unicorn
火币HTX
道说区块链
比推 Bitpush News
白话区块链
佐爷歪脖山
白话区块链
