作者:陈小虎
未经授权,严禁转载,违者必究。
【原创说明】
BLS签名在英文文档介绍的比较多,但是很多讲得并不清楚,通常需要查看原有的论文,对应后学习,对一般的程序员要求比较高。这里整理了一下本人在学习bls签名过程中的详细推导过程,自认为比较容易理解一些。跟大家共享一下,也是为墨客的随机数子链做一些技术层次的科普铺垫。在阅读本文的内容前,读者可以先简单复习一下常见的椭圆曲线公私钥生成算法,用来对比BLS,会有助于理解本文的内容。
【正文】
先简单介绍一下BLS签名。BLS的签名采用曲线对的方式可以验证两个(或者同一个)曲线上的点对符合乘法交换律:
e(P, Q) → n
e(x×P, Q) = e(P, x×Q).
在BN曲线上面可以表示成:

与传统的椭圆曲线不同,BLS的创新点在于让hash H(m)也能够对应于BN曲线上的一个点。这个映射空间大致是2:1的关系,可以很容易的处理。实现细节不重要,就当个结论记一下。另外,简单起见,本文里面提到的BLS签名和阈值签名不做区分。
阈值签名(threshhold sig)本质是m-of-n的签名方式,在知道m个签名的条件下,可以合成唯一一个合法的签名。任意m个签名片段的组合都是同一个可验证的签名。而且,由于每个人只有一个私钥片段,需要m个私钥片段组合在一起才能形成一个合法的完整的私钥。如果少于m个私钥片段在网络中共享的话,就不会有任何一个个人知道这个完整的私钥。
这里最基本的数学原理其实很简单,就是利用m个变量的多项式方程在m个条件下可解。如果系统中有n>m个条件,任意m个条件都可以得出一个唯一确定的解。当然,如果小于m个条件就不可解。
这里首先涉及到一个可验证私钥片段分发的问题(VSS)。每个节点独立产生自己的私钥片段,然后将可验证的公钥广播出去,以及系统中其他节点需要验证本地节点的可靠性的信息。这个公/私钥片段分发验证的过程在初始化阶段做一次即可(除非节点数变化,则再需要分发一次)。这个流程如下:
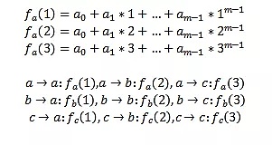
1、每个节点生成一组私钥r0, r1, …, rm-1 r = a, b, c, d, … 这些私钥是一个m阶多项式的参数

每个节点对其他节点x=1,2,…,n生成多个多项式的值Fr(x),x最简单的情况就是用其他节点的编号。生成后在私底下秘密传递给相对应的节点(一般可以通过用对方的非对称公钥加密后发送):

这样每个节点拥有n个共享私钥(用于解方程的条件)。这些私钥不能暴露给第三方。
3、每个节点公开公钥信息

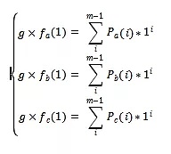
4、每个节点可以验证Fr(x)收到的是否正确,以a为例,验证方法为:

5、如果验证有错,广播错误,这里会涉及一些反馈以及contest的过程。
6、如果所有的节点的验证都没有错误,每个节点达成一致,每个节点本地获得的信息如下表:

7、这样,系统中的全局私钥为(Ao+Bo+Co),全局公钥为g×(Ao+Bo+Co)。但是没有一个人能够知道全局私钥。如果知道了m个共享私钥片段Fr(1...m),就可以计算出全局私钥.
有了这个基础,我们就可以实现第一个应用。
应用1:创建一个聚合私钥(m-of-n),每个人有自己的私钥片段,只有在收集>m个私钥片段后,才可以得到全局私钥,来对全局公钥对应的钱包地址的操作进行签名。这个可以用来配置一些需要多方控制的钱包。
但是这里有个问题,因为在使用的时候,需要m个私钥片段的合成。这个过程可能会导致m个片段为公众知道,所以,这样的应用实用性不强,因为一旦大于m个私钥片段公布在网络中,任何一个人就可以算出来全局私钥,那么辛辛苦苦经历步骤1-6的过程只能使用一次,代价太大了。
这里,就需要用到BLS签名的长处了。具体的做法是,节点不应该公布共享私钥信息,而只是公布签名信息。这样,共享私钥可以一直使用,每个人可以验证签名的有效性。而全局私钥却没有人能够知道。这个就是threshold 签名。
具体的做法如下:

这样任意m个Hr(s)可以计算出(Ao+Bo+Co),这个就是信息s的全局签名。
下面以具体的例子来说民。比如对于 m=2,n=3的情况,
如果已知两个节点的签名片段A,B:
节点1的签名片段A

节点2的签名片段B

由:

可得到:

所以:

那么这里的阈值签名就是

签名的数值就是公开的两个签名片段的数学运算

每个人都可以验证这个签名的合法性。注意,这里用到了前面提到的特性,就是H(s)也在曲线上面。这也是为什么BLS签名能够工作的本质。

同样的,如果公布了节点1的签名片段A和节点3的签名片段C,阈值签名就应该是:

可以证明,这个签名和前面的是一致的。
由此,我们可以实现第二个应用。
应用2:创建一个随机数区块链,区块链的每个共识节点通过初始化实现VSS,每个节点有自己的私钥片段。然后每个节点对某个信息(交易集合,或者预定义信息)进行签名。节点在收集>m个签名片段后,就可以合成全局签名。这个签名可以很容易通过全面公钥来验证。在这个过程中,全局私钥没有任何人知道,但是这个签名的结果是多个节点认可的结果。如果以这个全局签名作为随机数源,这个随机数就是一个共识的结果,而且无法被单个人篡改。而且,这个是可以持续安全地产生随机数,只要每轮给出不同的信息来签名。
但是这里有个问题,如果每个节点公布签名片段的话,信息量是O(n∧2),有没有更好的方案,请关注下一篇文章。
声明:本文由入驻金色财经的作者撰写,观点仅代表作者本人,绝不代表金色财经赞同其观点或证实其描述。
提示:投资有风险,入市须谨慎。本资讯不作为投资理财建议。
CEEX研究院
Foresight News
区块律动BlockBeats
Block unicorn
