在传统金融领域,精算定价能力是保险公司的最核心以及最备竞争力的能力,精算师在国民经济分工中享有较高的地位和收入。
与NXM将保费与staking金额挂钩,利用staking的预期来为项目违约率进行定价的单一方式不同, INS3采用预期模型、KMV模型与自主链上评分卡三者结合的精算模型来确定保费。
1、预期模型
预期模型通过客户的staking金额数量来映射保费。


其中Risk Cost与staking金额指数递减相关,staking金额等于0时,年化保费为85%,当单个项目的skaking超过50万美元时,保险费用达到最低,最低的保费等于年化2%。该部分精算模型借鉴了NXM
信用险的保费定价=保额×(无风险利率+违约率)。
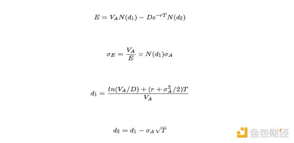
根据KMV模型:

其中,V为公司资产价值,μ为资产价值漂移率,δ为其波动率,dW为标准维纳过程。
假设债务期限为T,公司股权价值为E、负债为D,无风险利率为r,根据期权定价理论,有

由此计算违约距离DD:

并估算最佳违约点参数:

其中: α为短期借款乘数,SD为公司短期借款,β为长期借款乘数,LD为长期借款。
实践中,我们将Defi的锁仓量以及交易所的公开热钱包存币量与币价市值之和作为资产,投保额作为债务,平台币或者项目治理代币的波动率作为波动率,建立和目前项目风险之间的映射关系。
DD = (marketcap + TVL - sumCover)/δ
其中,marketcap代币市值,TVL为锁仓市值或者钱包市值,sumCover为已销售总保额,δ为其代币波动率
kucoin保费模拟(sumCover为测试链数据,因此不具备参考意义):

INS3团队针对每个defi项目的链上信息制作了评分卡模型:
其中,智能合约风险权重占45%,抵押物风险占20%,流动性风险占10%,协议管理权风险占12.5%,预言机风险占12.5%。
评分卡具体模型参见(附录1:评分卡):

通过评分卡,Defi项目的质量将更为量化,并反映在保费上。 评分和年化保费是反向线性映射关系,满分10分的保费为2%,0分的保费年化保费为定格85%。
INS3的精算模型融合预期模型、KMV模型以及评分卡模型进行联合精算定价,充分考虑市场预期与链上数据,其精细程度、精算的稳定性和准确性,相比目前去中心化保险产品都所提升。

声明:本文系金色财经原创稿件,版权属金色财经所有,未经授权不得转载,已经协议授权的媒体下载使用时须注明"稿件来源:金色财经",违者将依法追究责任。
提示:投资有风险,入市须谨慎。本资讯不作为投资理财建议。
金色财经 善欧巴
Foresight News
链捕手
IOSG Ventures
BlockFit
华尔街见闻
